Supply Currents in Idle Mode

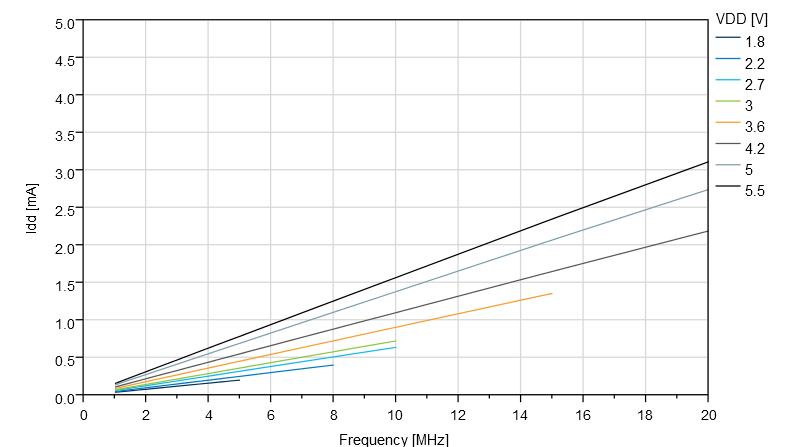
Figure 1. Idle Supply Current vs. Frequency (1-20 MHz) at T=25°C
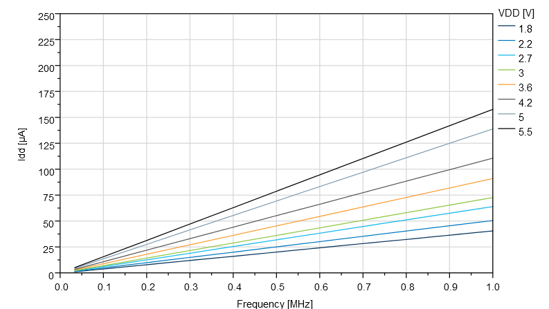
Figure 2. Idle Supply Current vs. Low Frequency (0.1-1.0 MHz) at T=25°C
Figure 3. Idle Supply Current vs. Temperature (f=20 MHz OSC20M)
Figure 4. Idle Supply Current vs. VDD (f=32 KHz OSCULP32K)