BOD Characteristics

BOD Current vs. VDD

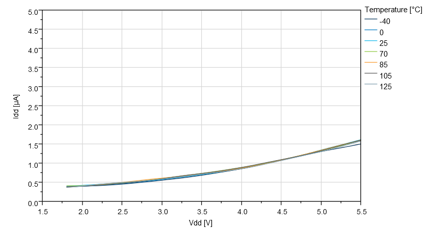
Figure 1. BOD Current vs. VDD (Continuous Mode Enabled)
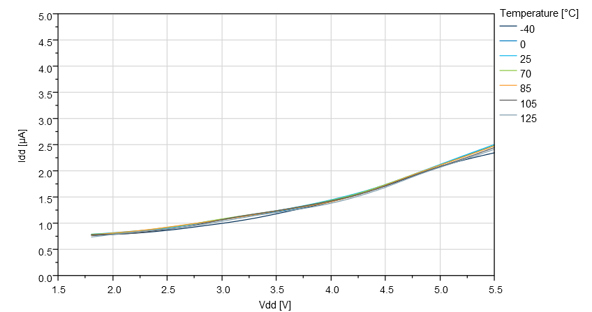
Figure 2. BOD Current vs. VDD (Sampled BOD at 125 Hz)
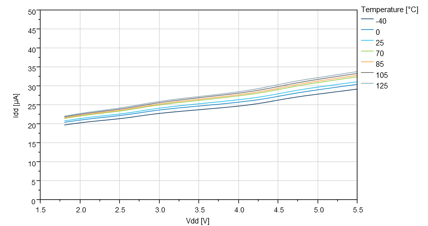
Figure 3. BOD Current vs. VDD (Sampled BOD at 1 kHz)

BOD Threshold vs. Temperature

Figure 4. BOD Threshold vs. Temperature (Level 1.8V)
Figure 5. BOD Threshold vs. Temperature (Level 2.6V)
Figure 6. BOD Threshold vs. Temperature (Level 4.3V)